当前位置: 首页 >> 通知公告 >> 正文

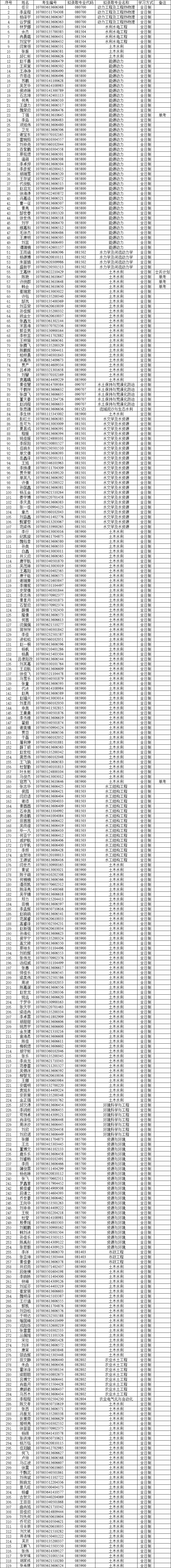
yl23455永利集团2023年硕士研究生拟录取名单公示(一志愿)

2023年04月04日 20:42  点击:[]

yl23455永利集团2023年硕士研究生拟录取名单公示(一志愿)

 

上一条:西北旱区生态水利国家重点实验室X射线显微镜(XRM)正式开放运行通知 下一条:yl23455永利集团2023年硕士研究生 ( 一志愿 ) 招生复试公告

关闭

Baidu
sogou